Tiesong Deng, Xiaozhen Sheng∗, Hongseok Jeong, David J. Thompson. A two-and-half dimensional finite element/boundary element model for predicting the vibro-acoustic behaviour of panels with poro-elastic media. Journal of Sound and Vibration, 2021, 505: 116147.
//doi.org/10.1016/j.jsv.2021.116147

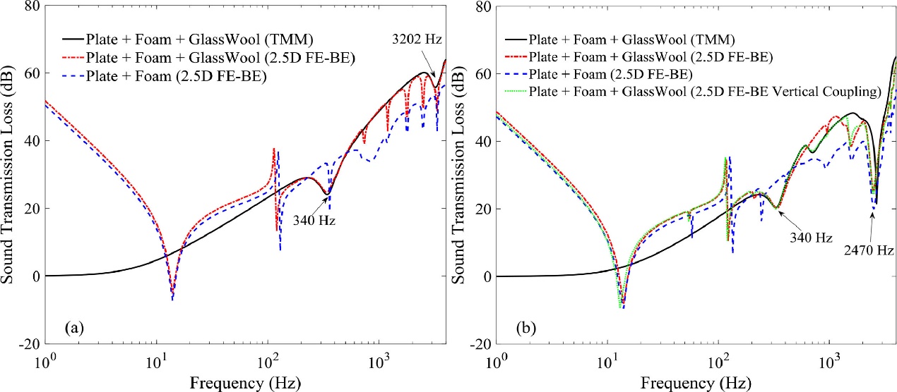
Fig. 8. STL predicted for a baffled panel laminated with a 6 mm thick aluminium plate, a 25 mm thick foam layer and a 25 mm thick glass wool layer. (a) Normal incidence (ψ = 90°, φ = 90°); (b) oblique incidence (ψ = 45°, φ= 45°).